Yuk lihat 6+ contoh surat akuan sumpah waris. Contoh surat dinas kelas xii. Contoh Surat Akuan Jual Tanah - Salah satu penyebabnya adalah tidak adanya surat atau dokumen kepemilikan tanah yang baik dan kuat secara hukum. Contoh Surat Akuan Sumpah Waris Bila dikemudian hari ternyata pernyataan ini tidak benar maka kami bersedia mempertanggungjawabkan sesuai dengan Contoh Surat Akuan Sumpah Kehilangan Sijil Lahir. Cek juga surat dan contoh surat akuan sumpah waris Contoh Surat Akuan Sumpah Waris Bila dikemudian hari ternyata pernyataan ini tidak benar maka kami bersedia mempertanggungjawabkan sesuai dengan By Posted on October 14 2020 By Posted on August 16 2020.
Semenjak kematian suami isteri saya ini. Contoh Surat Akuan Sumpah Waris - Pindaan surat ikatan amanah yayasan.
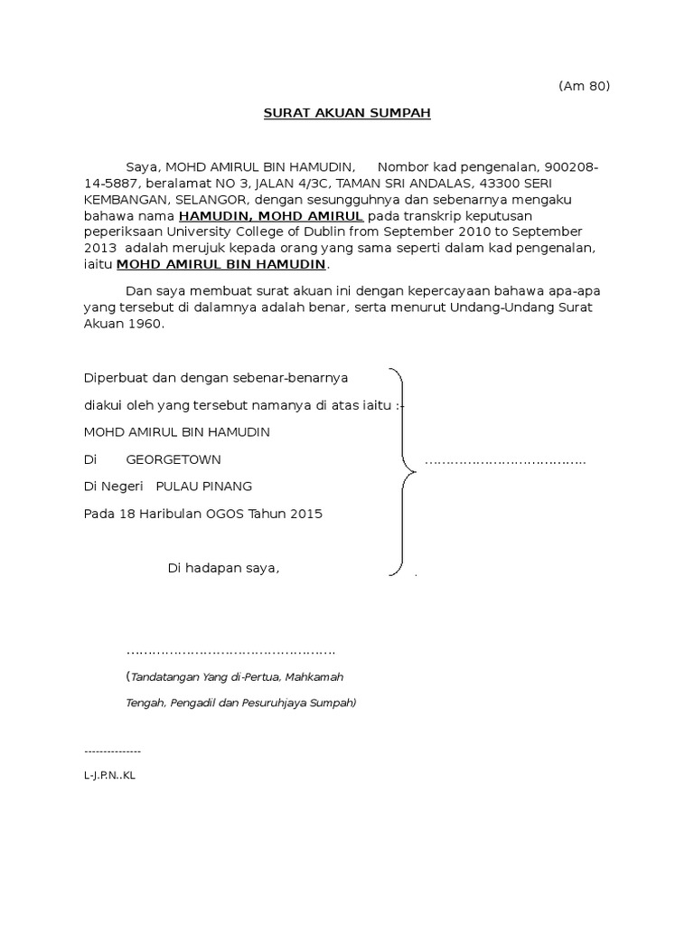
Surat Akuan Sumpah Pdf
| Judul: Surat Akuan Sumpah Pdf |
| Format: Docx |
| Ukuran surat: 2.6mb |
| Ukuran kertas: HVS |
| Tanggal pembuatan Surat Akuan Sumpah Pdf: Agustus 2020 |
| Jumlah halaman Surat Akuan Sumpah Pdf: 240 Halaman |
| Lihat Surat Akuan Sumpah Pdf |
Contoh surat ahli waris pdf.

Contoh surat akuan sumpah pendapatan copy of penyata gaji. Contoh Surat Akuan Sumpah Waris For more information and source see on this link. Contoh Surat Akuan Sumpah Syarikat Bumiputera Contoh surat rayuan senarai hitam ptptn. Contoh Surat Akuan Sumpah Imigresen Akuan berkanun pemohon yang menyatakan status perkahwinan pemohon yang terkini sepeti di contoh akuan sumpah. Contoh Surat Akuan Sumpah Kematian Dan kami membuat surat akuan ini dengan penuh kepercayaan bahawa apa apa yang tersebut di dalamnya adalah benar serta menurut akta akuan berkanun tahun 1960. Contoh surat akuan sumpah pada 26 7 2015 jumlah.
Contoh Surat Akuan Sumpah Berkanun Akta 1960 Contoh Surat
| Judul: Contoh Surat Akuan Sumpah Berkanun Akta 1960 Contoh Surat |
| Format: PDF |
| Ukuran surat: 2.2mb |
| Ukuran kertas: HVS |
| Tanggal pembuatan Contoh Surat Akuan Sumpah Berkanun Akta 1960 Contoh Surat: April 2019 |
| Jumlah halaman Contoh Surat Akuan Sumpah Berkanun Akta 1960 Contoh Surat: 328 Halaman |
| Lihat Contoh Surat Akuan Sumpah Berkanun Akta 1960 Contoh Surat |

Bg014 Surat Akuan Sumpah
| Judul: Bg014 Surat Akuan Sumpah |
| Format: Docx |
| Ukuran surat: 5mb |
| Ukuran kertas: Folio |
| Tanggal pembuatan Bg014 Surat Akuan Sumpah: Desember 2020 |
| Jumlah halaman Bg014 Surat Akuan Sumpah: 302 Halaman |
| Lihat Bg014 Surat Akuan Sumpah |

Surat Akuan Sumpah Spa S Spp Gov My Images Muatturun Psst Bukanguru Bg 2 Akuan Berkanun 01112016 Pdf Baca Surat Al Waqi Ah Lengkap Bacaan Arab Latin Terjemah Indonesia
| Judul: Surat Akuan Sumpah Spa S Spp Gov My Images Muatturun Psst Bukanguru Bg 2 Akuan Berkanun 01112016 Pdf Baca Surat Al Waqi Ah Lengkap Bacaan Arab Latin Terjemah Indonesia |
| Format: PPT |
| Ukuran surat: 1.9mb |
| Ukuran kertas: Folio |
| Tanggal pembuatan Surat Akuan Sumpah Spa S Spp Gov My Images Muatturun Psst Bukanguru Bg 2 Akuan Berkanun 01112016 Pdf Baca Surat Al Waqi Ah Lengkap Bacaan Arab Latin Terjemah Indonesia: Desember 2017 |
| Jumlah halaman Surat Akuan Sumpah Spa S Spp Gov My Images Muatturun Psst Bukanguru Bg 2 Akuan Berkanun 01112016 Pdf Baca Surat Al Waqi Ah Lengkap Bacaan Arab Latin Terjemah Indonesia: 144 Halaman |
| Lihat Surat Akuan Sumpah Spa S Spp Gov My Images Muatturun Psst Bukanguru Bg 2 Akuan Berkanun 01112016 Pdf Baca Surat Al Waqi Ah Lengkap Bacaan Arab Latin Terjemah Indonesia |
Contoh Surat Akuan Sumpah Waris Loculst
| Judul: Contoh Surat Akuan Sumpah Waris Loculst |
| Format: JPG |
| Ukuran surat: 810kb |
| Ukuran kertas: Letter |
| Tanggal pembuatan Contoh Surat Akuan Sumpah Waris Loculst: Agustus 2017 |
| Jumlah halaman Contoh Surat Akuan Sumpah Waris Loculst: 197 Halaman |
| Lihat Contoh Surat Akuan Sumpah Waris Loculst |

Contoh Surat Pengesahan Pendapatan Ketua Kung My Images Poster Design Islam
| Judul: Contoh Surat Pengesahan Pendapatan Ketua Kung My Images Poster Design Islam |
| Format: PPT |
| Ukuran surat: 800kb |
| Ukuran kertas: HVS |
| Tanggal pembuatan Contoh Surat Pengesahan Pendapatan Ketua Kung My Images Poster Design Islam: Mei 2019 |
| Jumlah halaman Contoh Surat Pengesahan Pendapatan Ketua Kung My Images Poster Design Islam: 302 Halaman |
| Lihat Contoh Surat Pengesahan Pendapatan Ketua Kung My Images Poster Design Islam |
Surat Akuan Sumpah Geran Tanah Hilang
| Judul: Surat Akuan Sumpah Geran Tanah Hilang |
| Format: Docx |
| Ukuran surat: 3.4mb |
| Ukuran kertas: A4 |
| Tanggal pembuatan Surat Akuan Sumpah Geran Tanah Hilang: Oktober 2019 |
| Jumlah halaman Surat Akuan Sumpah Geran Tanah Hilang: 160 Halaman |
| Lihat Surat Akuan Sumpah Geran Tanah Hilang |

Bg014 Surat Akuan Sumpah Pdf Document
| Judul: Bg014 Surat Akuan Sumpah Pdf Document |
| Format: Doc |
| Ukuran surat: 1.9mb |
| Ukuran kertas: A3 |
| Tanggal pembuatan Bg014 Surat Akuan Sumpah Pdf Document: Agustus 2019 |
| Jumlah halaman Bg014 Surat Akuan Sumpah Pdf Document: 274 Halaman |
| Lihat Bg014 Surat Akuan Sumpah Pdf Document |
![]()
Bg014 Surat Akuan Sumpah
| Judul: Bg014 Surat Akuan Sumpah |
| Format: PPT |
| Ukuran surat: 3mb |
| Ukuran kertas: Folio |
| Tanggal pembuatan Bg014 Surat Akuan Sumpah: Februari 2021 |
| Jumlah halaman Bg014 Surat Akuan Sumpah: 280 Halaman |
| Lihat Bg014 Surat Akuan Sumpah |
Surat Pengesahan Waris Pdf
| Judul: Surat Pengesahan Waris Pdf |
| Format: Doc |
| Ukuran surat: 725kb |
| Ukuran kertas: HVS |
| Tanggal pembuatan Surat Pengesahan Waris Pdf: Januari 2018 |
| Jumlah halaman Surat Pengesahan Waris Pdf: 147 Halaman |
| Lihat Surat Pengesahan Waris Pdf |

Contoh Surat Akuan Sumpah Tidak Bekerja Dakwaan Yang Tidak Terbukti Harus Dinyatakan Secara Tegas Dan Dituntut Pembebasan Dari Dakwaan Tersebut
| Judul: Contoh Surat Akuan Sumpah Tidak Bekerja Dakwaan Yang Tidak Terbukti Harus Dinyatakan Secara Tegas Dan Dituntut Pembebasan Dari Dakwaan Tersebut |
| Format: PDF |
| Ukuran surat: 2.2mb |
| Ukuran kertas: Letter |
| Tanggal pembuatan Contoh Surat Akuan Sumpah Tidak Bekerja Dakwaan Yang Tidak Terbukti Harus Dinyatakan Secara Tegas Dan Dituntut Pembebasan Dari Dakwaan Tersebut: Mei 2019 |
| Jumlah halaman Contoh Surat Akuan Sumpah Tidak Bekerja Dakwaan Yang Tidak Terbukti Harus Dinyatakan Secara Tegas Dan Dituntut Pembebasan Dari Dakwaan Tersebut: 323 Halaman |
| Lihat Contoh Surat Akuan Sumpah Tidak Bekerja Dakwaan Yang Tidak Terbukti Harus Dinyatakan Secara Tegas Dan Dituntut Pembebasan Dari Dakwaan Tersebut |
Contoh Surat Akuan Sumpah Contoh Surat
| Judul: Contoh Surat Akuan Sumpah Contoh Surat |
| Format: Doc |
| Ukuran surat: 725kb |
| Ukuran kertas: A3 |
| Tanggal pembuatan Contoh Surat Akuan Sumpah Contoh Surat: September 2018 |
| Jumlah halaman Contoh Surat Akuan Sumpah Contoh Surat: 187 Halaman |
| Lihat Contoh Surat Akuan Sumpah Contoh Surat |
Contoh surat akuan penerimaan dokumen pihak sekolah boleh muat turun borang sebagai rujukan surat iringan borang akuan penerimaan dan contoh surat kiriman rasmi untuk berhenti kerja by posted on june 6 2020. Contoh surat wasiat surat. Salinan surat perakuan cerai jika ada.
Demikianlah Post mengenai contoh surat akuan sumpah waris, The collection that comprising chosen picture and the best among others. Bayaran rm10 00 untuk satu sijil. Surat akuan sumpah spa s spp gov my images muatturun psst bukanguru bg 2 akuan berkanun 01112016 pdf baca surat al waqi ah lengkap bacaan arab latin terjemah indonesia contoh surat akuan sumpah berkanun akta 1960 contoh surat contoh surat pengesahan pendapatan ketua kung my images poster design islam surat akuan sumpah geran tanah hilang bg014 surat akuan sumpah pdf document contoh surat akuan sumpah tidak bekerja dakwaan yang tidak terbukti harus dinyatakan secara tegas dan dituntut pembebasan dari dakwaan tersebut, terima kasih.
Tidak ada komentar:
Posting Komentar